Pengertian Integral
Integral merupakan kebalikan dari diferensial.
![]()
Integral Tak Tentu
Integral Tak Tentu disebut juga anti turunan, yakni lawan dari turunan.
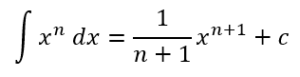
Rumus Integral Tak Tentu

Contoh 1 :

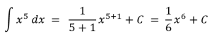
Contoh 2 :
Diketahui turunan fungsi f dinyatakan dengan f’(x) = 3x² – 2x – 5, dan nilai fungsi f(-2) = 15. Tentukan rumus fungsi tersebut.
Pembahasan:
f(x) = ∫ f’(x) dx
f(x) = ∫ (3x² – 2x – 5) dx
f(x) = x³ – x² – 5x + C
Karena f(-2) = 15, maka:
f(x) = x³ – x² – 5x + C
f(3) = (-2)³- (-2)² – 5(-2) + C
15 = -2 + C
C = 17
Jadi, f(x) = x³ – x² – 5x + 17
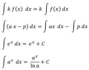
Rumus Logaritma
Rumus Kostanta

Integral Tertentu
Integral Tertentu (Definit Integral) yaitu integral dari suatu fungsi yang kontinu dengan nilai x tertentu dalam batas-batas a ≤ x ≤ b.
Rumus Integral Tertentu

a disebut batas bawah dan b disebut batas atas integral.
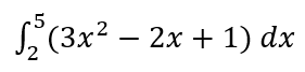
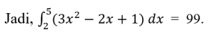
Contoh 1 :
Hitunglah:

Pembahasan:



Leave A Comment?