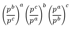
Soal nomor 1
Sederhanakan soal berikut:


Jadi, jawabannya adalah 124.
![]()
Soal nomor 2
Hitunglah hasil dari:


![]()
![]()
Soal nomor 3
Tentukan nilai dari:



![]()
Soal nomor 4
Hitunglah:




![]()
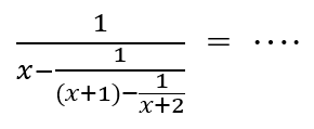
Soal nomor 5
Sederhanakanlah:


![]()
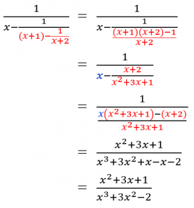
Soal nomor 6
Tentukan bentuk sederhana dari:

Pembahasan:

![]()
![]()
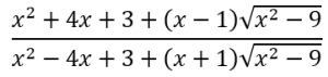
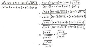
Soal nomor 7
Hitunglah hasil dari :

Pembahasan:

![]()
![]()
Soal nomor 8
Hitunglah hasil dari :

Pembahasan:


![]()
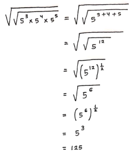
Soal nomor 9
Sederhanakan soal berikut:

Pembahasan:

![]()
Soal nomor 10
Sederhanakan soal berikut:

Pembahasan:

![]()
Leave A Comment?