Pengertian Bilangan Berpangkat
![]()
![]()
Macam Bilangan Berpangkat
Ada 4 macam pangkat suatu bilangan, yaitu:
- Berpangkat bilangan bulat positif
- Berpangkat bilangan bulat negatif
- Berpangkat bilangan pecahan
- Berpangkat bilangan nol
5³ dibaca: “lima berpangkat tiga” atau “lima pangkat tiga”
![]()
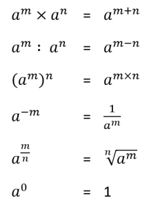
Sifat-sifat Bilangan Berpangkat
Sifat-sifat Bilangan Berpangkat yaitu:

![]()
Bilangan Berpangkat Tak Sebenarnya
Bilangan Berpangkat Tak Sebenarnya terdiri atas bilangan berpangkat pecahan atau bilangan berpangkat negatif.
Leave A Comment?