Soal nomor 1
Tentukan banyaknya ruang sampel pada percobaan pelemparan:
- Satu buah dadu
- Dua buah dadu sekaligus
- Satu mata uang logam
- Dua mata uang logam sekaligus
- Tiga mata uang logam sekaligus
- Satu buah dadu dan satu mata uang logam
Pembahasan:
Satu buah dadu
Ruang Sampel satu buah dadu adalah:
S = {1, 2, 3, 4, 5, 6}
n(S) = 6
Jadi, banyaknya ruang sampel satu buah dadu adalah 6
![]()
Dua buah dadu sekaligus
Ruang Sampel satu buah dadu adalah:
S = {(1,1), (1,2), (1,3), (1,4), (1,5), (1,6), (2,1), (2,2), (2,3), (2,4), (2,5), (2,6), (3,1), (3,2), (3,3), (3,4), (3,5), (3,6), (4,1), (4,2), (4,3), (4,4), (4,5), (4,6), (5,1), (5,2), (5,3), (5,4), (5,5), (5,6), (6,1), (6,2), (6,3), (6,4), (6,5), (6,6)}
n(S) = 36
Jadi, banyaknya ruang sampel satu buah dadu adalah 36
![]()
Satu mata uang logam
Misal :
A = Angka
G = Gambar
Ruang Sampel satu mata uang logam adalah:
S = {A, G}
n(S) = 2
Jadi, banyaknya ruang sampel satu mata uang logam adalah 2![]()
Dua mata uang logam sekaligus
Misal :
A = Angka
G = Gambar
Ruang Sampel dua mata uang logam sekaligus adalah:
S = {(A,A), (A,G), (G,A), (G,G)}
n(S) = 4
Jadi, banyaknya ruang sampel dua mata uang logam sekaligus adalah 4
![]()
Tiga mata uang logam sekaligus
Misal :
A = Angka
G = Gambar
Ruang Sampel tiga mata uang logam sekaligus adalah:
S = {(A,A,A), (A,A,G), (A,G,A), (G,A,A), (A,G,G), (G,A,G), (G,G,A), (G,G,G)}
n(S) = 8
Jadi, banyaknya ruang sampel tiga mata uang logam sekaligus adalah 8
![]()
Satu buah dadu dan satu mata uang logam
Ruang Sampel satu buah dadu dan satu mata uang logam adalah:
S = {(A,1), (A,2), (A,3), (A,4), (A,5), (A,6), (G,1), (G,2), (G,3), (G,4), (G,5), (G,6)}
n(S) = 12
Jadi, banyaknya ruang sampel satu buah dadu dan satu mata uang logam adalah 12
![]()
Soal nomor 2
Pada pelemparan sebuah dadu, tentukan:
- Peluang muncul mata dadu bilangan ganjil
- Peluang muncul mata dadu bilangan genap
- Peluang muncul mata dadu bilangan prima
- Peluang muncul mata dadu bilangan faktor dari 6
Pembahasan:
S = {1, 2, 3, 4, 5, 6}
n(S) = 6
Misalkan:
A = kejadian muncul mata dadu bilangan ganjil
A = {1, 3, 5}
n(A) = 3
Maka peluangnya adalah:

Jadi, peluang muncul mata dadu bilangan ganjil adalah ½
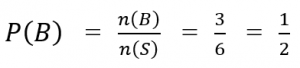
Misalkan:
B = kejadian muncul mata dadu bilangan genap
B = {2, 4, 6}
n(B) = 3
Maka peluangnya adalah:

Jadi, peluang muncul mata dadu bilangan genap adalah ½
Misalkan:
C = kejadian muncul mata dadu bilangan prima genap
C = {2}
n(C) = 1
Maka peluangnya adalah:

Jadi, peluang muncul mata dadu bilangan prima genap adalah ![]()
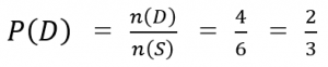
Misalkan:
D = kejadian muncul mata dadu bilangan faktor dari 6
D = {1, 2, 3, 6}
n(D) = 4
Maka peluangnya adalah:

Jadi, peluang muncul mata dadu bilangan faktor dari 6 adalah ![]()
![]()
Soal nomor 3
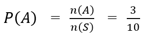
Sebuah huruf akan dipilih secara acak dari huruf-huruf dari kata “MATEMATIKA”. Tentukan peluang terpilihnya huruf A.
Pembahasan:
S = {M, A, T, E, M, A, T, I, K, A}
n(S) = 10
A = Banyak huruf A dari kata MATEMATIKA
A = {A, A, A}
n(A) = 3

Jadi, peluang terpilihnya huruf A adalah ![]()
![]()
Soal nomor 4
Diketahui dua buah dadu dilemparkan secara bersamaan. Tentukan:
- Peluang kejadian muncul mata dadu pertama prima
- Peluang kejadian muncul mata dadu berjumlah 10 atau lebih
Pembahasan:
S = {(1,1), (1,2), (1,3), (1,4), (1,5), (1,6), (2,1), (2,2), (2,3), (2,4), (2,5), (2,6), (3,1), (3,2), (3,3), (3,4), (3,5), (3,6), (4,1), (4,2), (4,3), (4,4), (4,5), (4,6), (5,1), (5,2), (5,3), (5,4), (5,5), (5,6), (6,1), (6,2), (6,3), (6,4), (6,5), (6,6)}
n(S) = 36
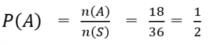
Misalkan:
A = kejadian muncul mata dadu pertama prima
A = {(2,1), (2,2), (2,3), (2,4), (2,5), (2,6), (3,1), (3,2), (3,3), (3,4), (3,5), (3,6), (5,1), (5,2), (5,3), (5,4), (5,5), (5,6)}
n(A) = 18
Maka peluangnya adalah:

Jadi, peluang kejadian muncul mata dadu pertama prima adalah ½.
![]()
Misalkan:
B = kejadian muncul mata dadu berjumlah 10 atau lebih
B = {(4,6), (5,5), (5,6), (6,4), (6,5), (6,6)}
n(B) = 6
Maka peluangnya adalah:

Jadi, peluang kejadian muncul mata dadu berjumlah 10 atau lebih adalah ![]()
![]()
Soal nomor 5
Dua buah dadu berwarna hitam dan putih dilemparkan bersama-sama. Tentukan:
- Peluang kejadian muncul mata dadu berjumlah 5
- Peluang kejadian muncul mata dadu berjumlah kurang dari 6
- Peluang kejadian muncul mata dadu kedua-duanya ganjil
- Peluang kejadian muncul mata dadu putih bilangan prima
Pembahasan:
Misalkan dadu berwarna hitam adalah dadu pertama dan dadu yang berwarna putih adalah dadu kedua, maka:
S = {(1,1), (1,2), (1,3), (1,4), (1,5), (1,6), (2,1), (2,2), (2,3), (2,4), (2,5), (2,6), (3,1), (3,2), (3,3), (3,4), (3,5), (3,6), (4,1), (4,2), (4,3), (4,4), (4,5), (4,6), (5,1), (5,2), (5,3), (5,4), (5,5), (5,6), (6,1), (6,2), (6,3), (6,4), (6,5), (6,6)}
n(S) = 36
![]()
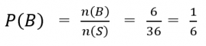
Misalkan:
A = kejadian muncul mata dadu berjumlah 5
A = {(1,4), (4,1), (2,3), (3,2)}
n(A) = 4
Maka peluangnya adalah:

Jadi, peluang kejadian muncul mata dadu berjumlah 5 adalah ![]()
![]()
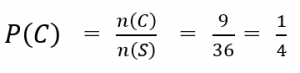
Misalkan:
B = kejadian muncul mata dadu berjumlah kurang dari 6
B = {(1,1), (1,2), (1,3), (1,4), (2,1), (2,2), (2,3), (3,1), (3,2), (4,1)}
n(B) = 10
Maka peluangnya adalah:

Jadi, peluang kejadian muncul mata dadu berjumlah kurang dari 6 adalah ![]()
![]()
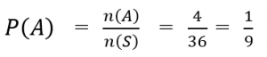
Misalkan:
C = kejadian muncul mata dadu kedua-duanya ganjil
C = {(1,1), (1,3), (1,5), (3,1), (3,3), (3,5),(5,1), (5,3), (5,5)}
n(C) = 9
Maka peluangnya adalah:

Jadi, peluang kejadian muncul mata dadu kedua-duanya ganjil adalah ¼.
![]()
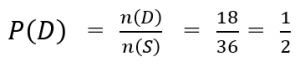
Misalkan:
D = kejadian muncul mata dadu putih bilangan prima
D = {(1,2), (1,3), (1,5), (2,2), (2,3), (2,5),(3,2), (3,3), (3,5), (4,2), (4,3), (4,5), (5,2), (5,3), (5,5), (6,2), (6,3), (6,5)}
n(D) = 18
Maka peluangnya adalah:

Jadi, peluang kejadian muncul mata dadu putih bilangan prima adalah ½.
![]()
Leave A Comment?