Jika nilai ruas kiri = nilai ruas kanan untuk sembarang nilai variabel, maka bentuk yang demikian disebutĀ kesamaan atauĀ identitas.
Soal nomor 1
Buktikan bahwa:


![]()
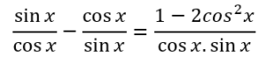
Soal nomor 2
Buktikan bahwa:
![]()

![]()
Soal nomor 3
Buktikan bahwa:


![]()
Soal nomor 4
Buktikan bahwa:
![]()

![]()
Soal nomor 5
Buktikan bahwa:
![]()

Leave A Comment?