Lihat Materi : Apa itu Sudut?
Soal nomor 1
Perhatikan gambar trapesium siku-siku berikut

Sudut-sudut manakah yang merupakan sudut tumpul, sudut lancip dan sudut siku-siku?
Pembahasan:
Sudut tumpul yaitu ∠BCD
Sudut lancip yaitu ∠ABC
Sudut siku-siku yaitu ∠BAD dan ∠ADC
![]()
Soal nomor 2
Tentukan hasil penjumlahan dan pengurangan satuan sudut berikut
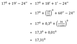
17° + 19′ – 24″ = …°
Pembahasan:

Jadi, 17° + 19′ – 24″ = 17,31°
![]()
Soal nomor 3
Tentukan sudut terkecil yang dibentuk oleh jarum pada pukul 14.30.
Pembahasan:

Pada jam, nilai a =
= 30°

Jadi, sudut terkecil yang dibentuk oleh jarum pada pukul 14.30 adalah 135°.
![]()
Soal nomor 4
Perhatikan gambar berikut.

Tentukan besar ∠AOB
Pembahasan:
∠AOB dan ∠BOC saling berpenyiku, sehingga:
∠AOB + ∠ BOC = 90°
2x + x = 90°
3x = 90°
x = 30°
Jadi, besar ∠AOB = 2x = 2 x 30° = 60°.
![]()
Soal nomor 5
Perhatikan gambar berikut.

Tentukan nilai x dan ∠BAD
Pembahasan:
Lihat Materi: Sudut Dalam dan Sudut Luar Segitiga
∠CBD = ∠BAD + ∠ADB
105° = (4x + 15)° + 2x°
6x° = 105°
15°
6x° = 90°
x° = 15°
Sehingga:
∠BAD = (4x + 15)°
= (4(15) + 15)°
= 75°
Jadi, nilai x = 15° dan besar ∠BAD = 75°.
![]()
Soal nomor 6
Perhatikan gambar berikut.


Pembahasan:
Lihat Materi: Sudut-sudut pada Dua Garis Sejajar

Leave A Comment?