Lihat Materi: Integral
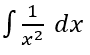
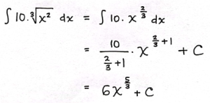
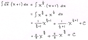
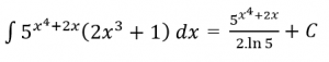
Soal nomor 1
Tentukan hasil dari integral berikut:

Pembahasan:


![]()
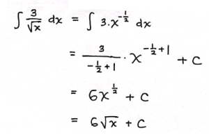
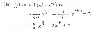
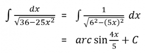
Soal nomor 2
Tentukan hasil dari integral berikut:

Pembahasan:


![]()
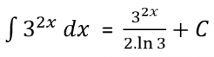
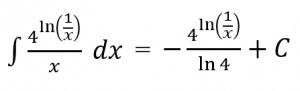
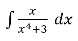
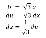
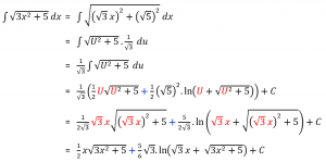
Soal nomor 3
Tentukan hasil dari integral berikut:

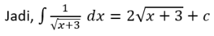
Pembahasan:


![]()
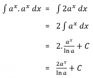
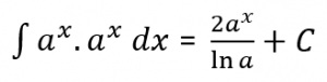
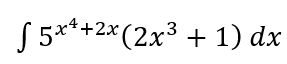
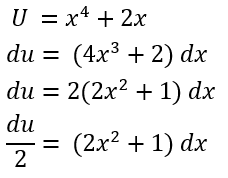
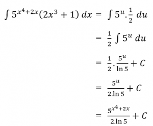
Soal nomor 4
Tentukan hasil dari integral berikut:
![]()
Pembahasan:

![]()
![]()
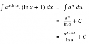
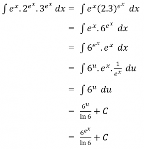
Soal nomor 5
Tentukan hasil dari integral berikut:

Pembahasan:


![]()
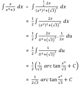
Soal nomor 6
Tentukan hasil dari integral berikut:
![]()
Pembahasan:

![]()
![]()
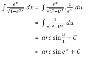
Soal nomor 7
Tentukan hasil dari integral berikut:

Pembahasan:

![]()
![]()
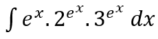
Soal nomor 8
Tentukan hasil dari integral berikut:

Pembahasan:


![]()
Soal nomor 9
Tentukan hasil dari integral berikut:

Pembahasan:

![]()
![]()
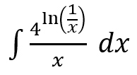
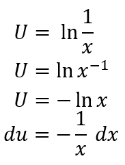
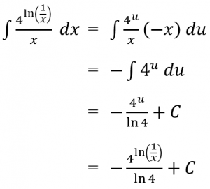
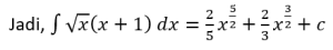
Soal nomor 10
Tentukan hasil dari integral berikut:
![]()
Pembahasan:

![]()
![]()
Soal nomor 11
Diketahui turunan fungsi f dinyatakan dengan f’(x) = 6x² – 3x + 4, dan nilai fungsi f(3) = 72. Tentukan rumus fungsi tersebut.
Pembahasan:
f(x) = ∫ f’(x) dx
f(x) = ∫ (6x² – 2x + 4) dx
f(x) = 2x³ – x² + 4x + C
Karena f(3) = 12, maka:
f(x) = 2x³ – x² + 4x + C
f(3) = 2(3)³ – (3)² + 4(3) + C
72 = 57 + C
C = 15
Jadi, f(x) = 2x³ – x² + 4x + 15
![]()
Soal nomor 12
Hitunglah integral tak tentu berikut.

Pembahasan:
Misalkan :
U = 2x
du = 2 dx
Sehingga:

Jadi,

![]()
Soal nomor 13
Hitunglah integral tak tentu berikut.
![]()
Pembahasan:

Jadi,

![]()
Soal nomor 14
Hitunglah integral tak tentu berikut.
![]()
Pembahasan:

Jadi,
![]()
![]()
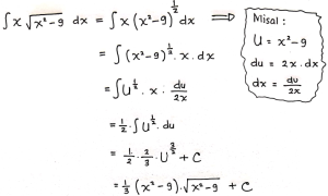
Soal nomor 15
Hitunglah integral tak tentu berikut.
![]()
Pembahasan:
Misalkan:

Sehingga:

Jadi,

![]()
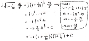
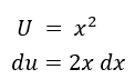
Soal nomor 16
Hitunglah integral tak tentu berikut.

Pembahasan:
Misalkan:

Sehingga:

Jadi,

![]()
Soal nomor 17
Hitunglah integral tak tentu berikut.

Pembahasan:
Misalkan:

Sehingga:

Jadi,

![]()
Soal nomor 18
Hitunglah integral tak tentu berikut.

Pembahasan:

Jadi,

![]()
Soal nomor 19
Hitunglah integral tak tentu berikut.

Pembahasan:
Misalkan:

Sehingga:

Jadi,

![]()
Soal nomor 20
Hitunglah integral tak tentu berikut.

Pembahasan:
Misalkan:

Sehingga:

Jadi,

![]()
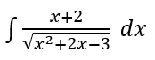
Soal nomor 21
Hitunglah integral tak tentu berikut.

Pembahasan:
Misalkan:
U = x² + 2x – 3
du = 2x + 2
Sehingga:

Jadi,
![]()
![]()
Soal nomor 22
Hitunglah integral tak tentu berikut.

Pembahasan:
Misalkan:
U = (2x + 1)
du = 2 dx
Sehingga:

Jadi,
![]()
![]()
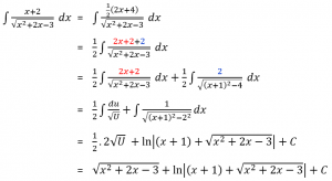
Soal nomor 23
Hitunglah integral tak tentu berikut.

Pembahasan:
Misalkan:

Sehingga:

Jadi,
![]()
Leave A Comment?