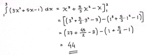
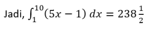
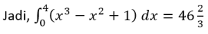
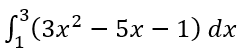
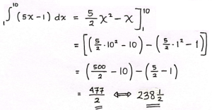
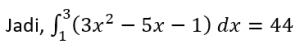
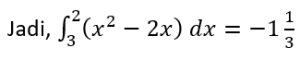
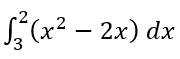
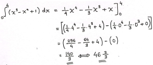
Integral Tertentu Created 15 Februari 2022 Author matematikapedia Category Soal Integral Lihat Materi: Integral Soal nomor 1 Hitunglah: Pembahasan: Soal nomor 2 Hitunglah: Pembahasan: Soal nomor 3 Hitunglah: Pembahasan: Soal nomor 4 Hitunglah: Pembahasan: #SEMOGA BERMANFAAT# Was this article helpful? Yes No
Leave A Comment?