Rumus Turunan Fungsi Konstan
![]()
Soal nomor 1
Carilah turunan fungsi berikut.
![]()
Pembahasan:

![]()
![]()
Soal nomor 2
Carilah turunan fungsi berikut.

Pembahasan:
![]()
![]()
![]()
Rumus Turunan Fungsi Identitas

Soal nomor 1
Carilah turunan fungsi berikut.
![]()
Pembahasan:

![]()
![]()
Rumus Turunan Fungsi Pangkat
![]()
Soal nomor 1
Carilah turunan fungsi berikut.

Pembahasan:

![]()
![]()
Soal nomor 2
Carilah turunan fungsi berikut.
![]()
Pembahasan:

![]()
![]()
Soal nomor 3
Carilah turunan fungsi berikut.

Pembahasan:

![]()
![]()
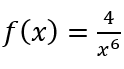
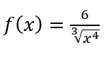
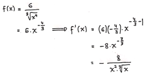
Soal nomor 4
Carilah turunan fungsi berikut.

Pembahasan:

![]()
![]()
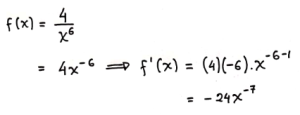
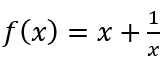
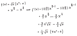
Soal nomor 5
Carilah turunan fungsi berikut.

Pembahasan:

![]()
![]()
Rumus Turunan Jumlah dan Selisih Fungsi

Soal nomor 1
Carilah turunan fungsi berikut.

Pembahasan:

![]()
![]()
Soal nomor 2
Carilah turunan fungsi berikut.

Pembahasan:

![]()
![]()
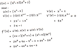
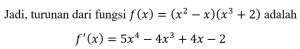
Soal nomor 3
Carilah turunan fungsi berikut.

Pembahasan:

![]()
![]()
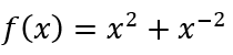
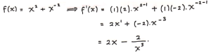
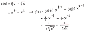
Soal nomor 4
Carilah turunan fungsi berikut.

Pembahasan:

![]()
![]()
Rumus Turunan Hasil Kali Fungsi

Soal nomor 1
Carilah turunan fungsi berikut.

Pembahasan:

![]()
![]()
Rumus Turunan Hasil Bagi Fungsi

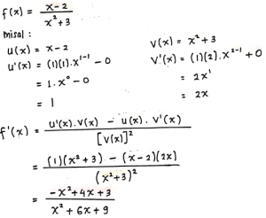
Soal nomor 1
Carilah turunan fungsi berikut.

Pembahasan:

![]()
Leave A Comment?