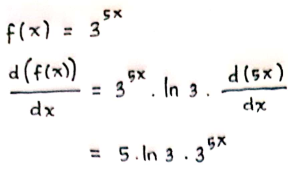
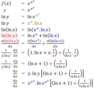
Soal nomor 1
Carilah turunan fungsi berikut.

Pembahasan:

![]()
![]()
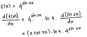
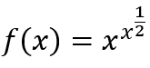
Soal nomor 2
Carilah turunan fungsi berikut.

Pembahasan:


![]()
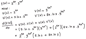
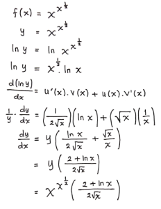
Soal nomor 3
Carilah turunan fungsi berikut.

Pembahasan:


![]()
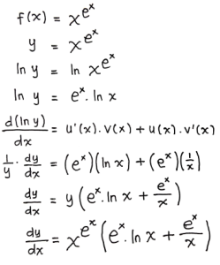
Soal nomor 4
Carilah turunan fungsi berikut.

Pembahasan:


![]()
Soal nomor 5
Carilah turunan fungsi berikut.

Pembahasan:


![]()
Soal nomor 6
Carilah turunan fungsi berikut.

Pembahasan:


![]()
Soal nomor 7
Carilah turunan fungsi berikut.

Pembahasan:


![]()
Soal nomor 8
Carilah turunan fungsi berikut.

Pembahasan:

Jadi, turunan fungsi dari:
adalah ![]()
![]()
Soal nomor 9
Carilah turunan fungsi berikut.

Pembahasan:

Jadi, turunan fungsi dari:
adalah
.
Leave A Comment?