KSN Matematika SD Sub Aljabar 2

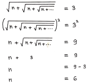
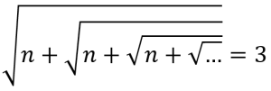
Soal nomor 1

Jika diketahui:

Tentukan nilaiĀ n = …?

Pembahasan:

Jadi, nilai n = 6.

Soal nomor 2

Tentukan nilai n yang memenuhi dari:

Pembahasan:

Jadi, nilai n yang memenuhi adalah 2022.

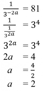
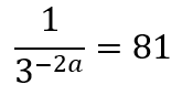
Soal nomor 3

Jika:

Maka nilai dari a adalah…

Pembahasan:

Jadi, nilai a adalah 2.

Soal nomor 4

Jika:

Tentukan nilai dari

Pembahasan:

Jadi, nilai dari

 

# SEMOGA BERMANFAAT#

Was this article helpful?

Related Articles

Leave A Comment?

I accept the Privacy Policy