Soal nomor 1
Jika diketahui:

Tentukan nilaiĀ n = …?
Pembahasan:

Jadi, nilai n = 6.
![]()
Soal nomor 2
Tentukan nilai n yang memenuhi dari:

Pembahasan:

Jadi, nilai n yang memenuhi adalah 2022.
![]()
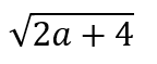
Soal nomor 3
Jika:

Maka nilai dari a adalah…
Pembahasan:

Jadi, nilai a adalah 2.
![]()
Soal nomor 4
Jika:
![]()
Tentukan nilai dari
![]()
Pembahasan:

Jadi, nilai dari
![]()
![]()
Leave A Comment?