Soal Nomor 1
Umur Ayah ditambah umur Ibu adalah 100 tahun. Umur ayah ditambah umur Paman adalah 101 tahun. Umur Ibu ditambah umur Paman adalah 99 tahun. Berapa jumlah umur mereka bertiga?

Jadi, jumlah umur mereka bertiga adalah 150 tahun.
![]()
Soal nomor 2
Anita, Budi, Cintia dan Doni bisa menyelesaikan pekerjaan secara Bersama-sama dalam waktu 5 jam. Anita dapat menyelesaikan pekerjaan 3 kali lebih cepat dari Cintia, Budi dapat menyelesaikan pekerjaan 2 kali lebih cepat dari Cintia, dan Cintia dapat menyelesaikan pekerjaan 2 kali lebih cepat dari Doni. Waktu yang diperlukan oleh Anita untuk menyelesaikan pekerjaan tersebut jika dia mengerjakan sendiri adalah….


![]()
Soal nomor 3
Bu Guru Henny memperkenalkan diri kepada siswa di kelasnya melalui teka-teki. Teka-tekinya adalah “Jika kalian bagi umur ibu dengan 2, maka akan bersisa 1, sedangkan jika kalian bagi umur ibu dengan 4 atau 5, maka akan bersisa 1 juga”. Tentukan berapakah umur Bu Henny saat perkenalan?
Pembahasan:
Misalkan umur Bu Henny adalah x, maka:

KPK dari 2, 4, dan 5 adalah 20, sehingga:
x = 2a + 1 = 4b + 1 = 5c + 1 = 20 + 1 = 21.
Jadi, umur Bu Henny saat perkenalan adalah 21 tahun.
![]()
Soal nomor 4
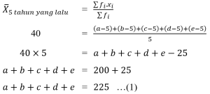
Umur sembilan orang diurutkan dari yang termuda sampai tertua. Lima tahun yang lalu rata-rata umur lima orang pertama adalah 40 dan rata-rata umur lima orang terakhir adalah 70. Jika sekarang rata-rata umur 9 orang ini sama dengan umur orang yang kelima, maka tentukan berapakah umur orang yang kelima tersebut.
Pembahasan:
- Misalkan umur sembilan orang tersebut adalah: a, b, c, d, e, f, g, h, i.
- Lima tahun yang lalu rata-rata umur 5 orang pertama adalah 40.

- Lima tahun yang lalu rata-rata umur 5 orang terakhir adalah 70.

- Rata-rata umur 9 orang sekarang:

- Dari persamaan (1), (2), dan (3) didapat:

Jadi, umur orang yang kelima tersebut adalah 60 tahun.
![]()
Soal nomor 5
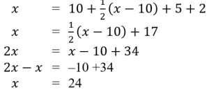
Hari ini, Rasyil berulang tahun. Umurnya seperempat kali umur ayahnya. Lima tahun yang akan datang, umur Rasyil sepertiga kali umur ayahnya. Berapakah umur Rasyil 15 tahun yang akan datang?
Pembahasan:
Misalkan :
Umur Rasyil = a
Umur Ayah = b
- Umur Rasyil seperempat kali umur ayahnya, maka:
![]()
- Lima tahun yang akan datang, umur Rasyil sepertiga kali umur ayahnya, sehingga:

Jadi, umur Rasyil 15 tahun yang akan datang adalah 10 + 15 = 25 tahun.
![]()
Soal nomor 6
Suatu barisan bilangan terdiri atas tujuh bilangan bulat yang berurutan. Jika jumlah dari tiga bilangan terkecil adalah 63, maka tentukan berapa jumlah dari tiga bilangan terbesar.
Pembahasan:
- Misalkan tujuh bilangan bulat tersebut adalah : x, (x + 1), (x + 2), (x + 3), (x + 4), (x + 5), (x + 6)
- Jumlah dari tiga bilangan terkecil adalah 63, maka:


Jadi, jumlah dari tiga bilangan terbesar adalah 75.
![]()
Soal nomor 7
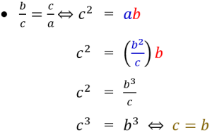
Diberikan tiga bilangan asli a, b, dan c sedemikian sehingga:

Tentukan nilai dari:

Pembahasan:
Karena

maka:

Sehingga a = b = c, maka:

![]()
![]()
Soal nomor 8
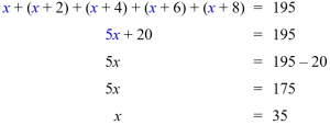
Jumlah dari lima bilangan ganjil berurutan adalah 195. Tentukan bilangan pertama dan terakhir.
Pembahasan:
- Misalkan lima bilangan ganjil berurutan tersebut adalah : x, (x + 2), (x + 4), (x + 6), (x + 8)
- Jumlah dari lima bilangan ganjil berurutan adalah 195, maka:

Jadi, Bilangan ganjil pertama = x = 35 dan
Bilangan ganjil terakhir = x + 8 = 35 + 8 = 43
![]()
Soal nomor 9
If A + B + C = 275, A = ¼B and C = 6A, then the value of B – 2A is…
Pembahasan:

Jadi, B – 2A = 100 – 2(25) = 100 – 50 = 50
![]()
Soal nomor 10
If A + B = 12, B + C = 20, and C + D = 28, then A + D =….
Pembahasan:
Diketahui

Maka:

So, A + D = 20.
![]()
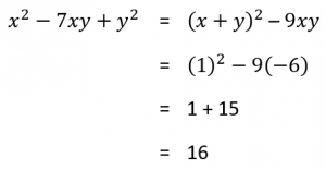
Soal nomor 11
Jika x + y = –6 dan xy = –27, maka tentukan nilai dari x² – 7xy + y²!
Pembahasan:

Jadi, nilai dari x² – 7xy + y² = 16.
![]()
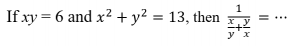
Soal nomor 12

Pembahasan:

![]()
Soal nomor 13
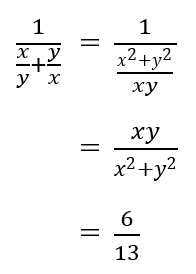
Rasyil memiliki sejumlah buku dengan warna yang berbeda. Seperempat dari jumlah bukunya berwarna merah dan sepertiganya berwarna biru. Jika 25 buah buku sisanya tidak berwarna merah atau biru, berapa banyak buku yang dimiliki Rasyil seluruhnya?
Pembahasan:
Misalkan:
= banyaknya buku yang dimiliki Rasyil
maka:

Jadi, banyak buku yang dimiliki Rasyil seluruhnya sebanyak 60 buah buku.
![]()
Soal nomor 14
Pak Arifin memiliki satu bundel tiket sepak bola untuk dijual. Pada hari Senin ia dapat menjual 10 lembar tiket kepada keluarganya. Hari Selasa, ia menjual setengah dari sisa tiket yang sudah terjual dan pada hari Rabu ia menjual tiket kepada teman di kantornya dan 2 tiket terakhir kepada dua orang sahabatnya. Berapa lembar tiket dalam satu bundel tersebut?
Pembahasan:
Misalkan:
= banyaknya tiket dalam satu bundel
maka:

Jadi, banyaknya tiket dalam satu bundel adalah 24 lembar.
![]()
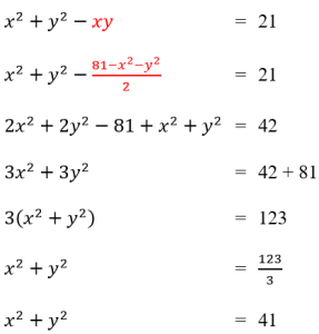
Soal nomor 15
Jumlah dua bilangan asli adalah 9. Jika jumlah pangkat tiga kedua bilangan adalah 189, maka nilai jumlah kuadrat kedua bilangan tersebut adalah….
Pembahasan:
Misalkan kedua bilangan tersebut adalah x dan y.
Jumlah dua bilangan asli adalah 9, maka:

Jumlah pangkat tiga kedua bilangan adalah 189, maka:

Dari persamaan (1) dan (2), substitusi persamaan (1) ke (2):

Jadi, nilai jumlah kuadrat kedua bilangan tersebut adalah 41.
![]()
Soal nomor 16
Dua pecahan jumlahnya tigaperempat dan selisihnya seperduabelas. Tentukan kedua pecahan tersebut.
Pembahasan:
Misalkan kedua pecahan tersebut adalah x dan y, maka:

![]()
![]()
Soal nomor 17
Rasyil memerlukan waktu 2 jam untuk mengecat dinding seluas 30 m², sedangkan Elvano memerlukan waktu 3 jam untuk mengecat ukuran luas yang sama. Secara bersama-sama, mereka mengecat dinding seluas 900 m². Jika masing-masing mereka bekerja 9 jam sehari, berapa hari yang diperlukan untuk menyelesaikan pengecatan tersebut?
Pembahasan:

Karena mereka bekerja 9 jam sehari, sehingga:

Jadi, untuk menyelesaikan pengecatan tersebut diperlukan sebanyak 4 hari.
![]()
Soal nomor 18
Ramazan melakukan perjalanan dari kota A ke Kota C melalui Kota B. Pada pukul 07.00 dia berangkat dari kota A dengan kecepatan rata-rata 30 km/jam. Pada pukul 08.30 dia sampai di Kota B. Setelah beristirahat selama 30 menit, Ramazan melanjutkan perjalanan ke Kota C dan tiba di Kota C pada pukul 10.30. Jika jarak antara kota A dan Kota C adalah 135 km, hitunglah kecepatan rata-rata perjalanan dari kota B ke Kota C.
Pembahasan:
Jarak Kota A ke Kota B:

Jarak Kota B ke Kota C:

Kecepatan rata-rata dari Kota B ke Kota C:

Jadi, kecepatan rata-rata perjalanan dari kota B ke Kota C adalah 60 km/jam.
![]()
Leave A Comment?