Soal nomor 1
Diketahui data nilai Penialain Akhir Siswa (PAS) kelas 5b adalah 7, 6, 8, 8, 7, 9, 6, 7, 6, 7, 8, 8, 7, 9, 7. Tentukan modus dari data di atas.
Pembahasan:
Modus adalah angka yang frekuensinya paling banyak muncul
Pada data 7, 6, 8, 8, 7, 9, 6, 7, 6, 7, 8, 8, 7, 9, 7 didapat:
angka 6 = 3x muncul
angka 7 = 6x muncul
angka 8 = 4x muncul
angka 9 = 2x muncul
Jadi, modus dari data 7, 6, 8, 8, 7, 9, 6, 7, 6, 7, 8, 8, 7, 9, 7 adalah 7, karena angka 7 muncul sebanyak 6x.
![]()
Soal nomor 2
Data hasil ulangan Matematika siswa kelas 6 dengan nilai rata-rata kelas 6A dan 6B adalah 7 dan 8. Jika jumlah siswa kelas 6A adalah 27 anak dan jumlah siswa kelas 6B adalah 23 anak, tentukan nilai rata-rata kedua kelas tersebut.
Pembahasan:

Jadi, nilai rata-rata kedua kelas tersebut adalah 7,46.
![]()
Soal nomor 3
Lala membeli sebuah laptop seharga Rp4.550.000,00. Agar bisa membelinya Lala harus menyisihkan Sebagian dari 30.000 rupiah uang jajannya setiap pergi ke sekolah. Jika Lala selalu hadir ke sekolah rata-rata 25 hari setiap bulannya selama sepuluh bulan, maka minimal rata-rata uang jajan yang ditabung Lala per hari supaya dapat membeli Laptop setelah 10 bulan adalah….
Pembahasan:
Misalkan:
x = uang jajan Lala yang ditabungnya setiap hari.
- Minimal rata-rata uang jajan yang ditabung Lala:

Jadi, rata-rata uang jajan yang ditabung Lala per hari supaya dapat membeli Laptop setelah 10 bulan minimal adalah ≤ Rp18.200,00.
![]()
Soal nomor 4
Tahun 2022 rata-rata umur dari suatu keluarga (ayah, ibu, dan ketiga anaknya) adalah 20. Jika umur mereka berlima ditambah umur seorang nenek dan kakek mereka, maka rata-ratanya menjadi 32. Jika umur kakek lebih tua 12 tahun dari umur nenek, maka kakek lahir pada tahun….
Pembahasan:
Misalkan:
Rata-rata umur dari suatu keluarga = ![]()
Umur Kakek = ![]()
Umur Nenek = ![]()
Maka:

Umur kakek adalah 68 tahun, maka kakek lahir pada tahun = 2022 – 68 = 1954.
Jadi, kakek lahir pada tahun 1954.
![]()
Soal nomor 5
Nilai rata-rata 5 besar KSN Matematika tahun lalu adalah 75, sedangkan nilai rata-rata 6 besarnya adalah 73. Berapakah nilai peserta peringkat ke-6?
Pembahasan:
Misalkan : W = nilai peserta peringkat ke-6

Jadi, nilai peserta peringkat ke-6 adalah 63.
![]()
Soal nomor 6
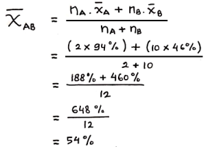
Dalam bulan Nopember dan Desember, rata-rata 94% kamar hotel “Permata Asri” terpakai, sedangkan sepanjang sepuluh bulan lainnya rata-rata hanya 46% kamar yang terpakai. Berapakah rata-rata pemakaian kamar hotel “Permata Asri” sepanjang tahun?
Pembahasan:
Misalkan:
A = pemakaian kamar di Bulan Nopember dan Desember
B = pemakaiakan kamar selai bulan Nopember dan Desember

Jadi, rata-rata pemakaian kamar hotel “Permata Asri” sepanjang tahun adalah 54%.
![]()
Soal nomor 7
Rata-rata dari 100 data adalah 200. Jika data pertama ditambah 1, data kedua ditambah 2, data ketiga ditambah 3, data keempat ditambah 4, dan seterusnya hingga data terakhir ditambah 100, berapakah rata-rata data yang baru?
Pembahasan:
- Rata-rata dari 100 data:

- Rata-rata data yang baru:

Jadi, rata-rata data yang baru adalah 250,5.
![]()
Soal nomor 8
Risya memiliki lima bola yang diberi nomor 1 sampai dengan 5 juga memiliki dua buah ember besar berwarna merah dan kuning. Dengan berapa cara berbeda bola-bola itu dapat dimasukkan ke dalam kedua ember, dengan syarat paling sedikit ada sebuah bola di setiap ember?
Pembahasan:

Jadi, bola-bola itu dapat dimasukkan ke dalam kedua ember dengan 30 cara.
![]()
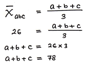
Soal nomor 9
Rata-rata umur tiga orang wanita adalah 26 tahun. Umur mereka tidak lebih dari 30 tahun. Umur terendah yang mungkin dari wanita-wanita tersebut adalah….
Pembahasan:
- Misalkan umur ketiga wanita itu adalah a, b, dan c, maka:

- Umur mereka tidak lebih dari 30 tahun,sehingga a ≤ 30, b ≤ 30, dan c ≤ 30.
- Misalkan a = b = 30, maka c < 30, maka:

Jadi, umur terendah yang mungkin dari wanita-wanita tersebut adalah 18 tahun.
![]()
Soal nomor 10
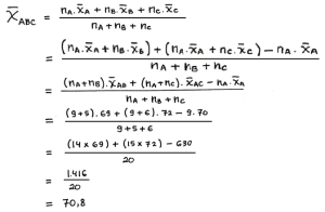
Dalam satu terdapat 3 kelompok siswa yang mengerjakan soal ujian. Kelompok A terdiri dari 9 orang dengan rata-rata nilai ujian 70. Kelompok B dan C, berturu-turut, terdiri dari 5 dan 6 siswa. Jika kelompok A digabung dengan kelompok B rata-ratanya menjadi 69. Jika kelompok A digabung dengan kelompok C rata-ratanya menjadi 72. Berapa rata-rata nilai ujian jika ketiga kelompok A, B, dan C digabung?
Pembahasan:

Jadi, rata-rata nilai ujian jika ketiga kelompok A, B, dan C digabung adalah 70,8.
![]()
Leave A Comment?