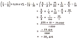
Soal nomor 1
Sederhanakanlah:
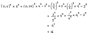
![]()
Pembahasan:

![]()
![]()
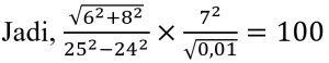
Soal nomor 2
Hitunglah:

Pembahasan:

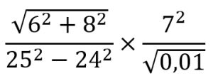
![]()
![]()
Soal nomor 3
Tentukan bentuk pecahan biasa dari pecahan desimal berulang 0,125125125…!
Pembahasan:
Misalkan : 0,125125125… = x, maka:


![]()
Soal nomor 4
Hitunglah:
Pembahasan:

![]()
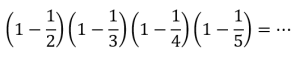
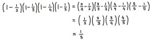
Soal nomor 5
Tentukan nilai dari:
9 + 99 + 999 + 9.999 + 99.999 + 999.999
Pembahasan:

Jadi, 9 + 99 + 999 + 9.999 + 99.999 + 999.999 = 1.111.104
![]()
Soal nomor 6
Tentukan nilai dari:

Pembahasan:
Cara 1:

Cara 2:

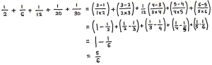
![]()
Soal nomor 7
Hitunglah hasil dari operasi hitung campuran berikut dalam bentuk desimal.

Pembahasan:

![]()
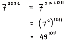
Soal nomor 8
Tentukan sisa pembagian
oleh 10
Pembahasan:
Cara 1:

Bilangan 49 dibagi 10 bersisa –1, maka sisa pembagian
oleh 10 adalah ![]()
Cara 2:

Jadi, sisa pembagian
oleh 10 adalah –1.
![]()
Soal nomor 9
Hitunglah:

Pembahasan:

![]()
Soal nomor 10
Tentukan nilai dari:

Pembahasan:


Leave A Comment?